TECNOLOGIA DE LA CONFECCION TEXTIL
 (C) Maria de Perinat, 1997
 (C) EDYM, España, 1997
Segunda Parte
El proceso industrial textil, de la materia prima a los acabados de las telas

Capítulo 12
Los colorantes 
Definición. 1. Colorantes naturales.  1.1 Colorantes minerales.  1.2 Colorantes animales. 1.3Colorantes vegetales.  2. Colorantes artificiales: Colorantes ácidos. Colorantes ácidos. Colorantes básicos. Colorantes directos. Colorantes a la tina. Colorantes pigmentación. Colorantes dispersos. Colorantes sulfurosos. Colorantes de complejo metálico. Colorantes reactivos.
DEFINICIÓN
Colorante tintóreo es el producto capaz de dar color a la fibra textil. 
    La más elemental división de los colorantes es la que distingue entre colorantes naturales y artificiales. Los empleados actualmente en la industria textil son artificiales, en tan alto porcentaje que muy bien podría decirse que lo son en su totalidad. Sin embargo los colorantes naturales han sido tan importantes en la historia del vestido y la ornamentación que resulta imposible ignorarlos; la púrpura, la cochinilla, el índigo, el palo campeche, etc. Aparte de que las características de los colorantes artificiales son superiores a las de los naturales, éstos, además, resultan ahora mucho más caros de obtener. La lista de colores que actualmente pueden ser obtenidos en el laboratorio se hace poco menos que infinita. Por otro lado, la segunda cuestión en razón de importancia en la tintura del textil, la solidez, ha sido tan perfeccionada que en la vestimenta actual la vida del color es ya comparable a la propia vida del tejido, de la confección, de la prenda en definitiva. La luz solar sigue siendo enemiga vital del color; pero el otro gran combatiente, el lavado, ha dejado de serlo, porque los detergentes actuales ya no atacan el color artificial; las prendas no deslucen con el lavado.
CLASIFICACIÓN DE LOS COLORANTES
COLORANTES NATURALES
Orgánicos de origen animal cochinilla 
púrpura
Orgánicos de origen vegetal índigo 
palo campeche
Inorg. de origen mineral cinabrio 
plomo 
cobalto

 
COLORANTES ARTIFICIALES
ácidos a la tina sulfurosos
básicos de pigmentación de complejo metálico
directos dispersos colorantes sobre mordiente
reactivos
 
1.  Colorantes naturales
1.1 Colorantes naturales de origen animal
Por lo que se refiere a los colorantes animales, algunos que tuvieron tantísima importancia, como la cochinilla, han desaparecido de la tintura textil, dado que su naturaleza orgánica presenta muchos problemas de solidez; esa naturaleza orgánica, precisamente, es la que ha reclamado de nuevo para ellos la importancia de su aplicación en otras industrias (por ejemplo la alimentaria), donde los colorantes artificiales resultan más dañinos que los naturales, que no producen perjuicio alguno. 
El colorante de la cochinilla, que procede del insecto del mismo nombre, se conoció en el mundo occidental después de la llegada de los españoles al territorio del actual México, ya que los aztecas la utilizaban abundantemente; fue a través de España que el uso de éste colorante pasó al resto del mundo. 

El colorante de la púrpura procede de una secreción del molusco marino que lleva este nombre; aunque hay otros que segregan una sustancia similar a la púrpura. Son abundantes los vestigios de su utilización en tiempos anteriores a la era cristiana. La utilización de este colorante no es sencilla, llegando a desconocerse durante largo tiempo después de la caída del Imperio Romano. A finales del siglo XVII se volvió a utilizar. Ciertamente el color púrpura tiene mucho de especial, y no sólo por sus connotaciones casi míticas. Es por ello que con el nacimiento de la química de laboratorio, a principios del siglo XX se aisló la sustancia colorante de la púrpura, encontrando que su composición química es C16H8O2N2Br2, que se corresponde con el dibromoíndigo. 
Hoy día, la púrpura es un colorante artificial sintético que se obtiene a partir del nitrobromobenzaldehído por tratamiento con sosa, acetona y alcohol etílico. 
 

1.2 Colorantes naturales de orígen vegetal 
El índigo es el colorante natural más utilizado en todos los tiempos, incluso actualmente, debido a su solidez; resiste bien a la luz, al lavado, a los álcalis y ácidos. Se utiliza en tintura textil como colorante a la tina. El índigo es el colorante de los jeans y prendas vaqueras azules. Esta sustamcia se extrae de plantas del género indigofera (que se dan en el Asia Suroriental, cultivadas y empleado como tal sobre todo en la India, para el algodón), que lo contienen en forma de glucósido; éste se hidroliza por ácidos o por fermentos en glucosa e indoxilo, se oxida de forma natural por el oxígeno del aire y se transforma en el colorante índigo o añil. Su composición química es C16H10O2N2
Una vez se consiguió aislar esta sustancia, su producción química ha hecho que el índigo como colorante artificial sea más barato y abundante que el natural. 

El palo campeche es un árbol leguminoso, de la familia de las papilionáceas, de madera muy dura y negra, algo aromático, cuya especie más importante se da en México y otras regiones de América Central. De esta especie se extrae la sustancia colorante hematoxilina o hemateína, de color típicamente encarnado, que se llama comunmente campeche o palo campeche. 

 
1.3 Colorantes minerales
De los colorantes naturales, los minerales siguen utilizándose, pero no de la forma natural como se hizo en la antigüedad sino aprovechando sus propiedades químicas que la ciencia ha ido descubriendo,  e incorporándolos así a la industria como colorantes artificiales. Tal es el caso del blanco de plomo, el azul cobalto, el ocre del cinabrio, etc.
2. Colorantes artificiales
Son los más importantes en la tintura textil. Muchos de ellos proceden de aislar en laboratorio las sustancias correspondientes a los mismos colorantes en estado natural, parte de los cuales hemos visto, y proceder posteriormente a sintetizar químicamente colorantes idénticos a sus correspondientes naturales. El hecho de proceder mediante química a la obtención de colorantes da ocasión a que en tales procedimientos se busquen y consigan productos colorantes con cualidades apropiadas a los fines textiles que se les va a dar. 

GENERALIDADES

    Características que definen y clasifican a la mayoría de los colorantes artificiales.

    Colorantes ácidos

      Empleados para tintura de lanas, seda, poliamidas. 
      Tienen diferentes grados de solideces.
    Colorantes básicos
      Empleados para tintura directa de lana, seda y, sobre todo, las acrílicas, en las que se obtienen colores vivos y brillantes y con muy buenas solideces.
    Colorantes directos   (sustantivos) 
      Empleados para la tintura de celulósicas, con muy buenas solideces.
    Colorantes a la tina
      Necesitan del oxígeno ambiental para ser efectivos. 
      Su constitución química es análoga a la del índigo. 
      Colorantes pigmentación 
      Necesitan de aglutinantes para su fijación.
    Colorantes dispersos
      Fino grado de dispersión. 
      Empleados para la tintura de rayón, acetatos y poliésteres. 
      Se usan con auxiliares "carriers".
    Colorantes sulfurosos
      Empleados para fibras celulósicas. 
      Muy económicos pero de resultados pobres de matices.
    Colorantes de complejo metálico
      Se emplean en la lana. 
      De buena solidez.
    Colorantes sobre mordiente
      Poco empleados.
    Colorantes reactivos
      Empleados en la tintura de fibras celulósicas, mediante reacción química; producen matices de coloreado muy vivos y brillantes.
 
2.1  Los colorantes ácidos 
Son los utilizados para tintar la lana y fibras protéicas en medio ácido. Su grupo cromóforo es aniónico. De ellos, los azóicos son los tintes amarillos, anaranjados, rojos, escarlatas, marinos sólidos, algunos verdeoscuros, y marrones (mezclas de varios azóicos). 
 
De los colorantes ácidos, los antranoquinónicos son los azules de buena solidez a la luz y a tratamientos en húmedo. Corren peligro de volver a oxidarse con la humedad ambiental una vez teñidos. Los trifenilmetánicos son los violetas, azules y verdes de tonos muy brillantes y moderadamente sólidos a la luz, mejor a los tratamientos húmedos. Estos colorantes tienen su índice de solubilidad (en agua) y su índice de afinidad en relación inversa. Por otra parte, a mayor solubilidad, mayor igualación pero menor solidez ante agentes húmedos. 
2.1.1 Tintura de lana en colorantes ácidos
En la tintura de la lana con colorantes ácidos de buena igualación, la adición de un electrolito neutro (sulfato sódico, por ejemplo) aumenta la igualación. El baño de tintura está compuesto de agua, ácido mineral u orgánico, colorante y electrolito neutro. 
La cutícula grasa que posee la lana actúa de barrera frente a la penetración del colorante. La velocidad de tintura depende de esta constitución de la fibra, de la temperatura del baño (a menos de 400C la lana no se tiñe) y de su ph. El ph del baño influye también en el agotamiento del colorante. Debido al fuerte poder condicionante que el ph tiene, la tintura de lana en medio ácido se puede clasificar en tres tipos respecto a éste: en baño ácido fuerte, en baño ácido débil, en baño ácido neutro. 
    TINTURA DE LANA EN BAÑO ÁCIDO FUERTE
    Grado de acidez: ph 2 ó ph 3, aún a menos de 400C. 
      RESULTADOS: Gran rapidez de absorción en un baño en ebullición conteniendo ácido sulfúrico y sulfato sódico. 
      Produce tinturas muy igualadas. 
      Se aplica sobre hilado para géneros de punto que no exijan elevadas solideces y para vestidos y abrigos de lanería de señora. 
    TINTURA DE LANA EN BAÑO DÉBILMENTE ÁCIDO
      RESULTADOS: Tinturas más sólidas a tratamientos en húmedo, pero menor poder igualador. Se aplica en floca o hilado que busque más solidez al lavado y batanado; también para pañería de colores claros. 
    TINTURA DE LANA EN BAÑO DE  ph neutro  (ph de 6 a 8,5) 
      RESULTADOS: Consigue poca penetración e igualación. 
      Suele hacerse a partir de los 800C y con adición de amoniaco en el baño. 
El proceso de tintura de la lana en medio ácido es siempre el que se expone en el cuadro esquemático, pero, debido al fuerte poder condicionante que el ph tiene sobre el proceso, variando el ph se obtienen tinturas con resultados sensiblemente distintos. 
 
 
PROCESO DE TINTURA DE LA LANA EN COLORANTES ÁCIDOS
COMPOSICIÓN DEL BAÑO 
AGUA+ÁCIDO MINERAL U ORGÁNICO+COLORANTE+ELECTROLITO NEUTRO 
PRIMERA FASE QUÍMICA 
Al introducir lana en este baño ácido, se produce la absorción de esos grupos ácidos  por la lana 
NH3  +    NH3

R  +  H+ R

COO       COOH
 
SEGUNDA FASE QUÍMICA 
También reaccionan los iones inorgánicos presentes 
NH3 +    NH3-X

R  +  X - R

COOH   COOH
 
TERCERA FASE QUÍMICA 
Puesto que el ión sulfato tiene menos afinidad por la fibra que por el colorante, 
éste reacciona así: 
NH3-X    H3N-Col 

R  +  Col- R  +  X-

COOH     COOH
 
 
2.2 Los colorantes básicos 
Tiñen las fibras animales de forma directa; pero de entre las naturales vegetales, solo el yute tiene afinidad por estos colorantes. 
Tiñen las fibras artificiales celulósicas indirectamente, mordentadas con tanino; de entre ellas, sólo el rayón nitro-seda tiene afinidad por los colorantes básicos. 
    El uso más común de los colorantes básicos se da en la tintura de las fibras acrílicas y de algunos poliésteres (los modificados). 

    En la tintura de estas fibras para controlar el proceso de tintura con colorantes básicos se utilizan agentes catiónicos-aniónicos adicionales. Estos agentes son sales de bases orgánicas que fuerzan al grupo cromóforo a unirse al catión, resultndo el anión incoloro. 
    Esta reacción química da como resultado  tres grupos de colorantes básicos nuevos: 

    • Colorantes con carga positiva deslocalizada; derivados del di/trifenilmetano.
    • Colorantes con carga catiónica localizada; de tipo antraquinónico o azoico, que poseen elevada solidez a la luz y buena estabilidad al ph.
    • Colorantes con estructura heterocíclica, conteniendo nitrógeno cuaternario; estos son solubles en alcohol etílico; menos solubles en agua.
 
2.3  Colorantes artificiales directos
Los colorantes artificiales directos se llaman así porque tiñen la fibra sin necesidad de un segundo producto que actúe como mordiente de ésta. 
Existen dos familias de colorantes directos: 
    a) colorantes azóicos
    b) colorantes tiazólicos 

    Los colorantes azóicos son derivados de las aminas del difenilo

en donde N  puede ser R  puede ser
-HN-NH-  -H
arildiaminas, enlace simple de bencidínicos SO3Na
-CH=CH-  etilbénicos  -Cl
-NH- -NO
-O-  -OH
-S-  -CH3
-CONH-  -OCH3
-NH-CO-NH-  -OCH2-CONa

 
    Los colorantes tiazólicos se llaman así porque en su molécula contienen el anillo tiazólico. Estos colorantes son solamente amarillos, anaranjados y pardos. 
Características de los colorantes artificiales directos
    • Generalmente son solubles en agua, aunque algunos precisan para ello la presencia de carbonato sódico.
    • Su solubilidad aumenta con el número de grupos sulfónicos y disminuye al aumentar su peso molecular. 
    • En frío forman soluciones coloidales.
    • Los colorantes directos resisten bien a los ácidos, aunque tienden a enrojecer. 
    • En presencia de agentes reductores rompen su molécula hacia derivados aminados.
RESULTADO DE COLORANTES DIRECTOS CON AGENTES REDUCTORES
    CLASIFICACIÓN DE LOS COLORANTES DIRECTOS 
    según la Society of Dyers and Coulorists
      • colorantes autorregulables
      • colorantes controlables mediante la sal
      • colorantes regulables por temperatura 
    Los colorantes autorregulables poseen buenas propiedades de igualación y dispersión. Pueden aplicarse por agotamiento, sin precaución especial, dentro de los límites normales de la tintura. 
    Los colorantes controlables mediante la sal dan un índice de agotamiento de 50% en baño de solución 1/30, con contenido de sal inferior al 1%. 
    Los colorantes regulables por temperatura son de gran sensibilidad, llegando a una absorción de un 50% de colorante, en soluciones de menos del 1% de sal. De esa forma la tintura es demasiado brusca y necesita, por tanto,  ser controlada mediante su temperatura. 
     

    CLASIFICACIÓN DE LOS COLORANTES DIRECTOS
    según su tratamiento posterior

      • con sales de cobre
      • con formaldehído
      • dazotación
      • acabado con resinas
    CLASIFICACIÓN DE LOS COLORANTES DIRECTOS
    según se comercialicen
      • directos
      • directos sólidos a la luz
      • directos con tratamiento de sales metálicas
      • directos diazotables y copulables
    CUANDO LOS COLORANTES DIRECTOS PRODUCEN TINTURAS DEFECTUOSAS
    puede haber sido por una de las siguientes causas:
      • un mal descrudado de la fibra
      • una tintura mal conducida, ya en cuanto al control de temperaturas o a la concentración de colorante en la solución tintórea
    La corrección del defecto se funda en la propiedad que tienen de ser fácilmente reducidos por los hidrosulfitos: 
      R-N=N-R1 + 2H2  resulta: R-NH2 + R1-NH2
    dando como resultado compuestos incoloros o poco coloreados 
 
2.4 Colorantes a la tina
Son colorantes que tienen entre sí diferente constitución química pero todos son insolubles en agua. Por su reducción en un medio alcalino se transforman en leucoderivados hidrosolubles. El proceso de reducción se fundamenta en la acción reductora del hidrógeno sobre el grupo carbonilo, trasfiriéndolo al grupo alcohólico. 
 
Una vez realizada la tintura, es fácilmente oxidable por el oxígeno del aire. Estos colorantes dan tinturas más brillantes que los antraquinónicos, pero menos sólidos ante la luz y el lavado.
    CLASIFICACIÓN DE LOS COLORANTES DIRECTOS A LA TINA
      • derivados del índigo: bromoíndigo, tioíndigo
      • derivados de la antraquinona
    DERIVADOS Y SUBDERIVADOS DE LA ANTRAQUINONA
    Los derivados de la antraquinona tienen mayor importancia comercial. Se pueden dividir en tres subfamilias
      • derivados de la antraquinona 
      • derivados de la indantrona 
      • derivados de la dibenzatrona y del perileno
     

    CARACTERÍSTICAS TINTÓREAS DE LOS DERIVADOS Y SUBDERIVADOS DE LA ANTRAQUINONA

    • Presentan buenas solideces en tonalidades intensas; no tan buenas en tonospálidos
    • En tintura en floca son sólidos al lavado y menos en tintura en pieza
    • Son apreciados por su solidez al descrudado a presión y al blanqueo
    • Generalmente se usan para tonos intensos
    • Menos brillantes que los indigoides
 
    MÉTODOS DE TINTURA QUE SE EMPLEAN  EN LOS DERIVADOS Y SUBDERIVADOS DE LA ANTRAQUINONA

    dependiendo de la facilidad de reducción y la sustantividad del leucoderivado:

    • en solución caliente 60 ºC    (IN)
    • en solución tibia 45 ºC    (IW)
    • en solución fría  25 ºC    (IK)
    En todos los métodos la tintura se realiza siguiendo los mismos pasos:
      1: reducción del colorante 
      2: preparación de la tina de tintura 
      3: tintura 
      4: oxidación del leucoderivado 
      5: tratamientos posteriores 
 
    DIFERENCIAS ENTRE LOS TRES METODOS
solución caliente solución tibia solución fría
AFINIDAD alta  media normal
IGUALACIÓN mala mediana buena
NaOH mucho medio normal
ClNa no se usa normal medio
S2O4Na2 igual en los tres métodos
AGENTES IGUALADORES a veces no
REDUCCIÓN EN LA  TINTA MADRE no
 
 
2.5 Colorantes dispersos
Estos colorantes son compuestos orgánicos no iónicos. Se aplican con un dispersante, porque son insolubles en agua, y se caracterizan fundamentalmente porque tienen un alto grado de dispersión. Se emplean para la tintura de rayón, acetatos y poliésteres; también se usan con auxiliares carriers
 
2.6 Colorantes sulfurosos
Se llaman sulfurosos porque en su molécula está presente el azufre, pero no como lo está en los colorantes directos, tiazólicos, etc., sino que aquí este azufre puede ser oxidado con facilidad. Por su aspecto, los colorantes sulfurosos son parecidos a los colorantes de tina y a los sustantivos; tiñen las fibras directamente en estado reducido y se combinan con los colorantes básicos para dar una laca insoluble; la cantidad de colorante absorbido depende de su porcentaje en la solución, de la concentración de sal en el baño y de la temperatura. Lo mismo que los colorantes de tina, también son insolubles en agua pero solubles en  medio alcalino y en presencia de sulfuro sódico como agente reductor. 
En este proceso de reducción cambia la estructura molecular del colorante pero sin afectar al grupo -S-S- sulfuroso. El leucoderivado soluble resulta con un coloreando diferente al del colorante original y ya tiñe la fibra, comportándose como un colorante directo de baja afinidad por la fibra. Finalmente, mediante la oxidación queda convertido otra vez en colorante sulfuroso no soluble en el agua.
    Por tanto, el proceso de tintura con colorantes sulfurosos es el siguiente:
      • disolución del colorante
      • tintura
      • oxidación
Esta tintura se realiza a una temperatura de 1000C y su duración oscila entre 60 y 90 minutos. El peligro de oxidación del colorante durante la tintura puede corregirse con un ligero exceso de sulfuro sódico, pero teniendo en cuanta que propasarse influiría negativamente en el rendimiento del colorante. Una vez terminada la tintura en la fibra, sí debe oxidarse, para desarrollar el verdadero coloreado y las propiedades finales de estos colorantes. Son empleados para la tintura de fibras celulósicas. Aunque resultan muy económicos son de resultados pobres de matices. 
    Tratamientos posteriores con bases metálicas aumentan las solideces de estos colorantes: 
      • El Cu mejora las solideces frente a la luz. 
      • El Cr mejora la solidez frente al frote. 
    Para evitar que desprendan ácido sulfúrico en su almacenamiento se trata la mercancía 
    con acetato sódico, sin lavado posterior, y se seca. 
 
2.7  Colorantes premetalizados
Se trata de soluciones tintóreas creadas mediante un proceso químico previo a la fase de tintura; en este caso el procedimiento es el siguiente: una o varias moléculas de colorante, generalmente ácido, se asocian con un átomo metálico formando un complejo molecular con afinidad por las fibras proteicas y poliamídicas. La formación de este complejo químico se consigue calentando una solución acuosa del cromóforo con una sal de cromo trivalente, siempre en un medio de ph por debajo de 4. Si bien se obtiene con ellos una extensa gama de colores, estos adolecen de falta de brillo en azules, verdes y violetas. Suelen aplicarse a tejidos inencogibles. 
 
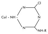
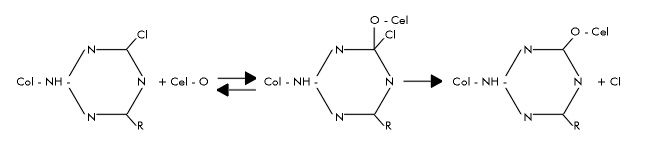
2.8  Colorantes reactivos
Como se indicó al principio del capítulo, estos colorantes son empleados en la tintura de fibras celulósicas, mediante reacción química con las moléculas de celulosa. 
    • Colorantes reactivos que forman ésteres de celulosa
    • Colorantes reactivos que forman éteres de celulosa
Los primeros tienen anillos heterocíclicos en su molécula y su reacción se basa en sustitución nucleófila, como se expone en el gráfico que representa su estructura molecular. 
De entre los segundos, unos son vinisulfónicos y otros acriloilamídicos. Su reacción se basa en el doble enlace -C=C- que son capaces de formar en un medio alcalino, adicionando núcleos. 
 
    Colorante-SO2-CH2-CH2-O-SO3
      [mediante OH-]  produce: 
        Colorante-SO2-CH(-DELTA)=CH2(+DELTA)+Cel-O- 
    Colorante-SO2-CH-CH2-O-Cel 
      [ediante H+] produce Colorante tintóreo -SO2-CH2-O-Cel
LA TINTURA CON ESTE TIPO DE COLORANTES
SE REALIZA EN TRES ETAPAS
PRIMERA ETAPA
Absorción del colorante por la fibra,  en un medio neutro y con adición de electrolito, seguida de una absorción en medio alcalino


En el proceso de la absorción el colorante se difunde hacia el interior de la fibra, donde es atrapado por las cadenas moleculares celulósicas. Estos colorantes son escasos en afinidad pero poseen un elevado coeficiente de difusión
  • La etapa de absorción se da en baño de ph neutro. A la elevación de ph aumentaría la cantidad de colorante que reaccionaría con el agua y sería menos lo que fuera absorbido por la fibra.
  • Los electrolitos influyen en el agotamiento de estos colorantes. La cantidad de sal a utilizar se relaciona con la concentración de colorante en el baño.
  • La temperatura del baño es inversamente proporcional al agotamiento del colorante.
  • El tipo de fibra condiciona también el proceso de absorción.
 
SEGUNDA ETAPA
Reacción del colorante con los hidroxilos de la celulosa y del agua en medio alcalino


La reacción que se da entre el colorante y el agua es de la forma siguiente:
    Colorante-Cl+OH- =  Colorante-OH+Cl-
La reacción del colorante con la fibra sería: 
    Colorante-Cl+Cel-O- = Colorante-O-Cel+Cl-
La velocidad de reacción del colorante con la fibra es varios cientos de veces mayor que la velocidad de reacción del colorante con el agua. Diferencia ésta que aumenta al aumentar la concentración de colorante en el agua, y disminuye al aumentar el agotamiento del colorante.
Producen matices de coloreado muy vivos y brillantes.
 
TERCERA ETAPA
Eliminación del colorante hidrolizado, pero sin fijación covalente con lacelulosa


Para la eliminación del colorante hidrolizado que esté en el baño, se deshecha sencillamente éste vaciando la máquina. Para eliminar el colorante hidrolizado en la fibra se lava ésta en caliente.
 

 

Ejemplos de colorantes reactivos
Grupo reactivo
Año aparición
Nombre comercial

Diclorotriazinicos
1956
Proción M (I.C.I.)

Monoclorotriazinicos
1957
Cibacron ( CIBA )
Proción H (I.C.I.)
Vinilsulfónicos
Colorante - S02 -  CH2 - CH2 - SO3H
1958
Remazol ( de Hoechst )

Triclorotriazinicos
1960
Drimaren ( de Sandoz)
Reacton ( de Geigy)
Vinilsulfónamidicos
Colorante - S02 - NH -  CH2 - CH2 - OSO3H
1960
Levafix (de Bayer )

Vinilsulfónicos
1967
Solidazol N ( de C.F.M. )

Monocloro-difluor-pirimidinicos
1971
Drimaren R ( Sandoz)
 

capítulo siguiente
index de esta parte